All Articles

Binary Tree Level Order Traversal

Given the root of a binary tree, return the level order traversal of its nodes’ values. (i.e., from left to right, level by level).

Example 1

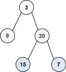
binary tree

  • Input: root = [3, 9, 20, null, null, 15, 7]
  • Output: [[3], [9, 20], [15, 7]]

Example 2

  • Input: root = [1]
  • Output: [[1]]

Approach 1: Iterative

This problem can be solved using the Breadth First Search (BFS) technique.

Analysis

BFS traversal can be performed using a FIFO queue.

  1. Push the root node to the queue.
  2. Iterate until the queue is empty.
  3. In each iteration, find the size of the queue: curLevelSize.
  4. Pop curLevelSize number of nodes from the queue and push their values to an array. This represents the traversal of the current level.
  5. While removing each node from the queue, insert the node’s children to the queue for further traversal.
  6. If the queue is not empty, repeat from step 3 for the next level.

Implementation

In C++:

vector<vector<int>> levelOrder(TreeNode* root) {
    if (root == nullptr)
        return {};
    queue<TreeNode*> nodes;
    nodes.push(root);
    vector<vector<int>> traverse;
    while(!nodes.empty()) {
        int curLevelSize = nodes.size();
        vector<int> levelTraverse;
        while (curLevelSize--) {
            TreeNode* curNode = nodes.front();
            nodes.pop();
            levelTraverse.push_back(curNode -> val);
            if (curNode -> left) nodes.push(curNode -> left);
            if (curNode -> right) nodes.push(curNode -> right);
        }
        traverse.push_back(levelTraverse);
    }
    return traverse;
}

Complexity Analysis

  • Time Complexity: O(N)O(N) where N is the number of nodes in the tree.
  • Space Complexity: O(N)O(N) extra, required for the queue.

Approach 2: Recursive

Analysis

This problem can also be solved in a recursive way (although the algorithm performs worse than the first approach).

Implementation

In C++:

// returns the subtree rooted at `node`
int getHeight(TreeNode* node) {
    if (node == nullptr) return 0;
    return 1 + max(getHeight(node -> left), getHeight(node -> right));
}

void getCurrentLevel(TreeNode* node, int level, vector<int> &currentLevel) {
    if (node == nullptr) return;
    if (level == 1) currentLevel.push_back(node -> val);
    getCurrentLevel(node -> left, level - 1, currentLevel);
    getCurrentLevel(node -> right, level - 1, currentLevel);
}
    
vector<vector<int>> levelOrder(TreeNode* root) {
    int h = getHeight(root);
    vector<vector<int>> traversal(h);
    for (int i = 1; i <= h; i++) {
        vector<int> &currentLevel = traversal[i - 1];
        getCurrentLevel(root, i, currentLevel);
    }
    return traversal;
}

Complexity Analysis

  • Time Complexity: O(N2)O(N ^ 2) in the worst case (where N is the number of nodes in the tree). For a skewed tree, getCurrentLevel takes O(N)O(N). Thus, time complexity is O(N)+O(N1)+O(N2)+...+O(1)=O(N2)O(N) + O(N - 1) + O(N - 2) + ... + O(1) = O(N ^ 2).
  • Space Complexity: O(N)O(N) extra, required for the implicit stack used in recursion (for a skewed tree). For a balanced tree, the call stack uses O(height)=O(NlogN)O(height) = O(N log N) space.